C plus plus code from adaptive inference software
Scientific software development
Structure-oriented figure from biological modeling work
Real-world insights
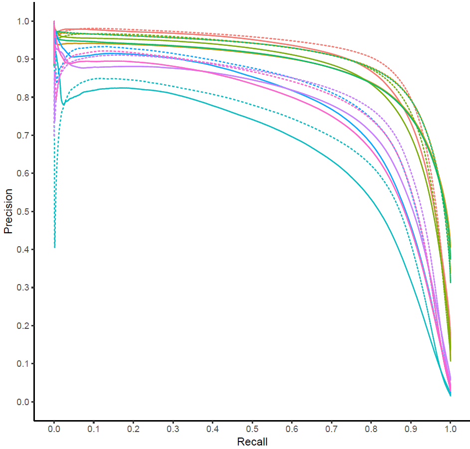
Precision recall comparison for genomic imputation models
Model validation
Mathematical derivation from a Bayesian nonparametric manuscript
Rigorous mathematical modeling
Trace comparison between two model-fitting approaches
Model comparison
Blobplot visualization for exploratory genomic analysis
Exploratory analysis

Hi, I'm Wesley DeMontigny. I build probabilistic models and scientific software.

Completed Work

Publication/Software

Inferring Gene Presence in Incomplete Data via Phylogenetic Occupancy Modeling

A probabilistic graphical model for imputing missing genes in large, highly-incomplete, genomic datasets.

Read the preprint
Open repository

Publication

The nuclear and mitochondrial genomes of Amoebophrya

Bioinformatic analysis of a novel marine parasite genome, including alternative genetic code usage and heterogeneity of mitochondrial genome.

View publication

Software

Smc-CAT

A C++ sequential Monte Carlo sampler for the CAT model, an important nonparametric Bayesian phylogenetic model.

Open repository

My Current Work

Machine learning

Graph neural networks for gene presence prediction

Graph neural networks for link prediction between genes and genomes, drawing inspiration from social recommendation systems.

Statistical modeling

Reversible-jump MCMC for hidden evolutionary regimes

A C++ inference engine for infinite-mixture models that detects hidden regime changes in stochastic evolutionary processes.

Statistical modeling

Automatic partitioned phylogenetic analyses

A nonparametric Bayesian model that automatically partitions genomic sequences by shared evolutionary parameters.

Statistical modeling

Gene presence imputation with shared latent histories

A probabilistic clustering model that jointly infers shared gene histories to impute missing genes in partially observed genomes.